2017-12-01から1ヶ月間の記事一覧

PD-1/PD-L1タンパクタンパク相互作用阻害剤の特許を調べてみた

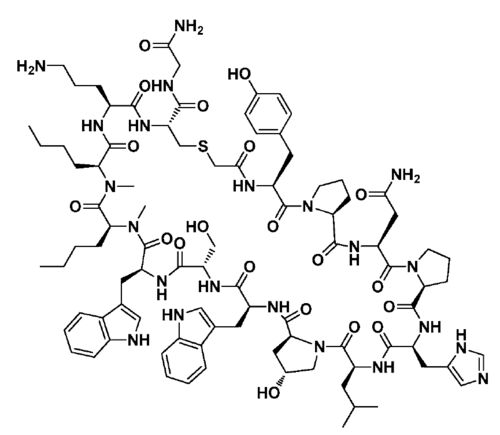
この記事は 創薬 Advent Calendar 2017 - Adventar (#souyakuac2017 hashtag on Twitter)の第23日目の記事です. 背景 今年になって抗体以外のPD-1阻害剤のアプローチの特許が徐々に増えてきている様子なので,フリーで可能な範囲で少し調べてみた経緯を紹介…

創薬化学と特許の関わりについて

この記事は 創薬 Advent Calendar 2017 - Adventar (#souyakuac2017 hashtag on Twitter)の第17日目の記事です.本日から2回に分けて創薬,特にメディシナルケミストと特許について概説したいと思います (知財部の専門ではないので用語の正確性に欠ける点は…